从崩塌区下通过某公路路基,拟设置拦石墙防护,拦石墙后设缓冲土层,土层、落石重度各为18kN/m3、22kN/m3,土层内摩擦角φ= 16°,崩塌物最大块体...

作者: tihaiku 人气: - 评论: 0
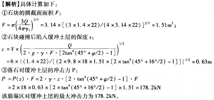
问题 从崩塌区下通过某公路路基,拟设置拦石墙防护,拦石墙后设缓冲土层,土层、落石重度各为18kN/m3、22kN/m3,土层内摩擦角φ= 16°,崩塌物最大块体体积为1.4m3, 块体落地前的末段速度为6m/s,求崩塌物对缓冲土层的沛击力的大小为( )kN。 A. 118.0 B. 151.7 C. 178.2 D. 214.3
选项
答案 C
解析

相关内容:崩塌区,公路,路基,石墙,防护,土层,崩塌,物最

猜你喜欢

发表评论
更多 网友评论0 条评论)
暂无评论

访问排行

Copyright © 2012-2014 恰考网 Inc. 保留所有权利。 Powered by tikuer.com

页面耗时0.0466秒, 内存占用1.04 MB, Cache:redis,访问数据库18次