有一码头的挡土墙,墙高5m,墙背垂直、光滑;墙后为冲填的松砂。填土表面水平,地下水位与墙顶齐平。已知砂的孔隙比e=0.9,饱和重度ysat =18.7kN...

作者: tihaiku 人气: - 评论: 0
问题 有一码头的挡土墙,墙高5m,墙背垂直、光滑;墙后为冲填的松砂。填土表面水平,地下水位与墙顶齐平。已知砂的孔隙比e=0.9,饱和重度ysat =18.7kN/m3,内摩擦角ψ=30°。强震使饱和松砂完全液化,震后松砂沉积变密实,孔隙比变为e=0.65,内摩擦角变ψ=35。。震后墙后水位不变。试问墙后每延长米上的主动土压力和水压力之总和最接近于下列哪个选项的数值?( ) A. 68kN B. 120kN C. 150kN D. 160kN
选项
答案 C
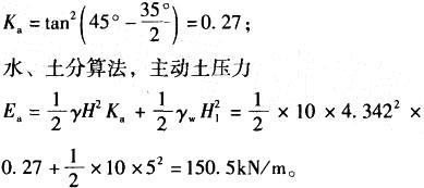
解析

相关内容:码头,土墙,墙高,墙背,冲填,松砂,表面,水平,地下,水位,墙顶,齐平,孔隙,饱和,18.7kN...

猜你喜欢

发表评论
更多 网友评论0 条评论)
暂无评论

访问排行

Copyright © 2012-2014 恰考网 Inc. 保留所有权利。 Powered by tikuer.com

页面耗时0.0441秒, 内存占用1.04 MB, Cache:redis,访问数据库17次