地下水位由距地面2m,下降到距地面20m的软黏土层顶面,从而引起软黏土层的压缩,如图7-25所示。在软黏土层的中点A取土样,试验得到压缩系数a=0.6MP...

作者: tihaiku 人气: - 评论: 0
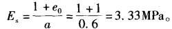
问题 地下水位由距地面2m,下降到距地面20m的软黏土层顶面,从而引起软黏土层的压缩,如图7-25所示。在软黏土层的中点A取土样,试验得到压缩系数a=0.6MPa-1, 在地下水位开始下降时,A点的初始孔隙比e0=1.0。软黏土层的最终压缩量为( )mm。 A. 224.5 B. 243.2 C. 292.5 D. 333. 9
选项
答案 B
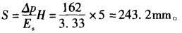
解析 软黏土层的压缩是由于地下水位下降引起有效应力增加,产生附加应力。在软黏土层顶面以下,该附加应力为一常量。 取A点,计算土的压缩模量为: 地下水位下降前,软黏土层顶面处的竖直方向的有效应力为:p0=∑y′ihi= 1.9×10×2 +(2.0-1)×10×18 =218kPa。 水位下降后,软黏土层顶面处竖直方向的有效应力为: p1=∑y′ihi=1.9×10×20 =380kPa; 因为地下水位下降引起的附加应力为:Δp=p1-p0=380-218 =162kPa; 在整个软黏土层内,该附加应力都是相同的。则软黏土的最终压缩量为:

相关内容:地下,水位,地面,软黏,土层,顶面,如图,7-25所示,中点,试验,系数,0.6MP...

猜你喜欢

发表评论
更多 网友评论0 条评论)
暂无评论

访问排行

Copyright © 2012-2014 恰考网 Inc. 保留所有权利。 Powered by tikuer.com

页面耗时0.0384秒, 内存占用1.04 MB, Cache:redis,访问数据库16次