某场地抗震设防烈度为8度,场地类别为II类,设计地震分组为第一组,建筑物A和建筑物B的结构基本自振周期分别为:TA=0.2s和TB=0.4,阻尼比均为ζ=...

作者: tihaiku 人气: - 评论: 0
问题 某场地抗震设防烈度为8度,场地类别为II类,设计地震分组为第一组,建筑物A和建筑物B的结构基本自振周期分别为:TA=0.2s和TB=0.4,阻尼比均为ζ=0.05,根据 《建筑抗震设计规范》,如果建筑物A和B的相应于结构基本自振周期的水平地震影响系数分别以αA和αB叫表示,试问两者的比值(αA/αB)最接近于下列何项数值?( ) A. 0.83 B. 1.23 C. 1.13 D. 2.13
选项
答案 C
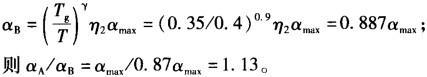
解析 根据《建筑抗震设计规范》(GB 50011 — 2010)第5.1.4条和第5.1.5条,查表 5. 1.4-2,该场地特征周期值Tg=0.35s; 对于建筑物A,结构自振周期TA=0.2s,则αA=η2αmax=1×αmax=αmax; 对于建筑物B,结构自振周期TB=0.4s,则:

相关内容:场地,抗震,设防,烈度,别为,设计,地震,分组,建筑物,结构,自振,周期,阻尼

猜你喜欢

发表评论
更多 网友评论0 条评论)
暂无评论

访问排行

Copyright © 2012-2014 恰考网 Inc. 保留所有权利。 Powered by tikuer.com

页面耗时0.0379秒, 内存占用1.05 MB, Cache:redis,访问数据库20次