某铁路涵洞基础位于深厚淤泥质黏土地基上,基础埋置深度1.0m,地基土不排水抗剪强度cu为35kPa,地基土天然重度18kN/m3,按照《铁路桥涵地基基础设...

作者: tihaiku 人气: - 评论: 0
问题 某铁路涵洞基础位于深厚淤泥质黏土地基上,基础埋置深度1.0m,地基土不排水抗剪强度cu为35kPa,地基土天然重度18kN/m3,按照《铁路桥涵地基基础设计规范》(TB 10025—2005),安全系数m'取2.5,涵洞基础地基容许承载力[σ]的最小值接近于下列哪个选项?(  )
选项 A.60kPa B.70kPa C.80kPa D.90kPa
答案 D
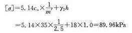
解析 根据《铁路桥涵地基和基础设计规范》(TB 10002.5—2005)第4.1.4条规定,涵洞基础地基容许承载力为:

相关内容:铁路,涵洞,基础,淤泥,黏土,地基,深度,土不,排水,抗剪,强度,天然,桥涵,地基基础

猜你喜欢

发表评论
更多 网友评论0 条评论)
暂无评论

访问排行

Copyright © 2012-2014 恰考网 Inc. 保留所有权利。 Powered by tikuer.com

页面耗时0.0407秒, 内存占用1.04 MB, Cache:redis,访问数据库14次