某场地为均质黏性土场地,土层资料为:fak=150kPa,r=18kN/m3,e=0.90,Ic=0.70,地下水埋深为6.0m,场地中有独立基础,上部结...

作者: tihaiku 人气: - 评论: 0
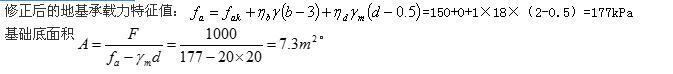
问题 某场地为均质黏性土场地,土层资料为:fak=150kPa,r=18kN/m3,e=0.90,Ic=0.70,地下水埋深为6.0m,场地中有独立基础,上部结构在正常使用极限状态下荷载效应标准组合时传至基础顶面的荷载为1000kN,承载能力极限状态下荷载效应的基本组合时传至基础顶的荷载为1300kN,基础埋深为2.0m,只考虑中心荷载作用条件下,基础底面积不宜小于(  )m2。
选项 A.5.6 B.6.6 C.7.3 D.9.5
答案 C
解析 根据《建筑地基基础设计规范》(GB 50007—2011)式(5.2.4)计算,基础宽度和深度的地基承载力影响系数:由e=0.90,Ic=0.70,查表5.2.4,nb=0,nd=1。

猜你喜欢

发表评论
更多 网友评论0 条评论)
暂无评论

访问排行

Copyright © 2012-2014 恰考网 Inc. 保留所有权利。 Powered by tikuer.com

页面耗时0.0274秒, 内存占用1.03 MB, Cache:redis,访问数据库15次