某软土地基土层分布和各土层参数如图3所示。已知基础埋深为2.0m,采用搅拌桩复合地基,搅拌桩长10.0m,桩直径500mm,单桩承载力为120kN,单桩承...

作者: tihaiku 人气: - 评论: 0
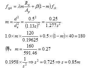
问题 某软土地基土层分布和各土层参数如图3所示。已知基础埋深为2.0m,采用搅拌桩复合地基,搅拌桩长10.0m,桩直径500mm,单桩承载力为120kN,单桩承载力系数,要使复合地基承载力达到180kPa,按正方形布桩,问桩间距取下列哪个选项的数值较为合适(假设桩间土地基承载力修正系数β=0.5)?(  )
选项 A.0.85m B.0.95m C.1.05m D.1.1m
答案 A
解析 根据《建筑地基处理技术规范》(JGJ 792012)第7.3.3条第2款,按式(7.1.5-2)计算:

相关内容:软土,地基,土层,参数,如图,3所示,基础,桩长,直径,单桩,承载力,单桩承

猜你喜欢

发表评论
更多 网友评论0 条评论)
暂无评论

访问排行

Copyright © 2012-2014 恰考网 Inc. 保留所有权利。 Powered by tikuer.com

页面耗时0.0556秒, 内存占用1.05 MB, Cache:redis,访问数据库20次