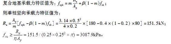
某工程场地为软土地基,采用CFG桩复合地基处理,桩径d=0.5m,按正三角形布桩,桩距s=1.1m,桩长l=15m,要求复合地基承载力特征值fspk=18...

作者: tihaiku 人气: - 评论: 0
问题 某工程场地为软土地基,采用CFG桩复合地基处理,桩径d=0.5m,按正三角形布桩,桩距s=1.1m,桩长l=15m,要求复合地基承载力特征值fspk=180kPa,单桩承载力特征值Ra及加固土试块立方体抗压强度平均值fcu应为(  )。(取置换率m=0.2,桩间土承载力特征值fik=80kPa,折减系数β=0.4)
选项 A.Ra=151kPa,fcu=3090kPa B.Ra=150kPa,fcu=2370kPa C.Ra=159kPa,fcu=2430kPa D.Ra=163kPa,fcu=2490kPa
答案 A
解析 根据《建筑地基处理技术规范》(JGJ 79—2012)第7.1.5条和第7.1.6条,

相关内容:工程,场地,软土,地基,地基处理,桩径,正三角形,布桩,桩距,桩长,要求,承载力,特征值

猜你喜欢

发表评论
更多 网友评论0 条评论)
暂无评论

访问排行

Copyright © 2012-2014 恰考网 Inc. 保留所有权利。 Powered by tikuer.com

页面耗时0.0340秒, 内存占用1.04 MB, Cache:redis,访问数据库13次