某民用建筑场地为砂土场地,场地地震烈度为8度,设计地震分组为第一组,设计基本地震加速度为0.20g,0~7 m为中砂土,松散,7 m以下为泥岩层,采用灌注...

作者: tihaiku 人气: - 评论: 0
问题 某民用建筑场地为砂土场地,场地地震烈度为8度,设计地震分组为第一组,设计基本地震加速度为0.20g,0~7 m为中砂土,松散,7 m以下为泥岩层,采用灌注桩基础,在5.0 m处进行标准贯入试验,锤击数为10击,地下水埋深为1.0 m,该桩基在砂土层中的侧摩阻力应按( )进行折减。
选项 A 0 B 1/3 C 2/3 D 1
答案 B
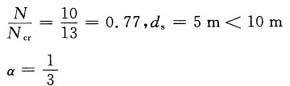
解析 ① 临界锤击数Ncr ② 折减系数α。

猜你喜欢

发表评论
更多 网友评论0 条评论)
暂无评论

访问排行

Copyright © 2012-2014 恰考网 Inc. 保留所有权利。 Powered by tikuer.com

页面耗时0.0504秒, 内存占用1.03 MB, Cache:redis,访问数据库18次