吉林省松原市某民用建筑场地地质资料如下: ① 0~5 m粉土,fak=150 kPa,vs1=180 m/s; ② 5~12 m中砂土,f...

作者: tihaiku 人气: - 评论: 0
问题 吉林省松原市某民用建筑场地地质资料如下: ① 0~5 m粉土,fak=150 kPa,vs1=180 m/s; ② 5~12 m中砂土,fak=200 kPa,vs2=240 m/s; ③ 12~24 m粗砂土,fak=230 kPa,vs3=310 m/s; ④ 24~45 m硬塑黏土,fak=260 kPa,vs4=300 m/s; ⑤45~60 m的泥岩,fak=500 kPa,vsm=520 m/s。 建筑物采用浅基础,埋深2.0 m,地下水位2.0 m,阻尼比为0.05,自震周期为1.8s,该建筑进行抗震设计时: ② 进行第二阶段设计时地震影响系数应取( )。
选项 A 0.15 B 0.20 C 0.23 D 0.25
答案 C
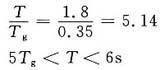
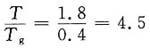
解析 ① 判断场地类型。 d0v=45 m,d0=20 m 查表4.1.6,场地类别为Ⅱ类。 ② αmax与Tg。 查附录A第A.0.6条,松原市抗震设防烈度为8度,设计基本地震加速度值为0.2g,设计地震分组为第一组 第一阶段设计(多遇地震条件下) αmax=0.16,Tg=0.35 S 第二阶段设计(罕遇地震条件下) αmax=0.90,Tg=0.35+0.05=0.40 S ③ 计算地震影响系数 第一阶段设计(多遇地震条件下) 曲线在直线下降段 α=[0.20.9-0.02(T-5Tg)]αmax=[0.20.9-0.02×(1.8-5×0.35)]× 0.16=0.037≈0.04 第二阶段设计(罕遇地震条件下) Tg<T<5Tg 曲线在曲线下降段

相关内容:吉林省,松原市,民用建筑,场地,地质,资料,如下,粉土,砂土

猜你喜欢

发表评论
更多 网友评论0 条评论)
暂无评论

访问排行

Copyright © 2012-2014 恰考网 Inc. 保留所有权利。 Powered by tikuer.com

页面耗时0.0454秒, 内存占用1.05 MB, Cache:redis,访问数据库19次