某公路工程位于8度烈度区,场地地下水位为5.0 m,地质资料见下表:按《公路工程抗震设计规范》(JTJ 004—1989) ② 第2层的液化折减系数α为...

作者: tihaiku 人气: - 评论: 0
问题 某公路工程位于8度烈度区,场地地下水位为5.0 m,地质资料见下表:按《公路工程抗震设计规范》(JTJ 004—1989) ② 第2层的液化折减系数α为( )。
选项 A 0 B C D
答案 C
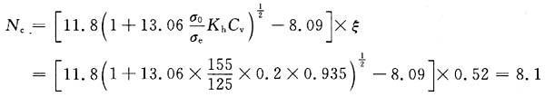
解析 ① 进行液化初判。 第4层中砂土地质年代为Q3,可判为不液化。 第3层亚砂土的黏粒含量为16,8度烈度可判为不液化。 第2层细砂土按du=5.0 m,dw=5.0 m,查图[2.2.2.(a)],需考虑液化影响,应进行复判。 ② 进行液化复判。 8度烈度,Kh=0.2 测试点埋深为8.0 m,Cv=0.935 黏粒含量Pc=8 ξ=1-0.17(Pc)1/2=1-0.17×81/2=0.52 总上覆压力σ0=19×5+20×(8-5)=155(kPa) 有效上覆压力σe=19×5+(20-10)×(8-5)=125(kPa) 修正液化临标准贯入锤击数Nc 标准贯入锤击数的修正系数Cn 实测修正标准贯入锤击数N1 N1=Cn·N63.5=0.85×8=6.8 N1<Nc,第2层细砂土液化.液化土层为1层。 ③ 液化折减系数α。 抵抗系数Ce 折减系数α

相关内容:公路工程,烈度区,场地,地下,水位,地质,资料,公路工程抗震设计规范,液化,折减,系数

猜你喜欢

发表评论
更多 网友评论0 条评论)
暂无评论

访问排行

Copyright © 2012-2014 恰考网 Inc. 保留所有权利。 Powered by tikuer.com

页面耗时0.0527秒, 内存占用1.05 MB, Cache:redis,访问数据库18次