某建筑场地为砂土场地,0~6.0 m为粗砂土,6.0 m以下为卵石土,地下水埋深为1.0 m,地表测试粗砂土平均剪切波速为180 m/s,场地位于8度烈度...

作者: tihaiku 人气: - 评论: 0
问题 某建筑场地为砂土场地,0~6.0 m为粗砂土,6.0 m以下为卵石土,地下水埋深为1.0 m,地表测试粗砂土平均剪切波速为180 m/s,场地位于8度烈度区,按《岩土工程勘察规范》之相关规定,该场地应判定为( )场地。
选项 A液化 B不液化 C不能判断
答案 A
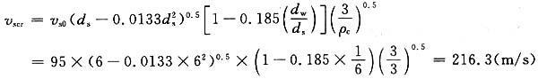
解析 vs0=95m/s,ds=6 m,ρc=3 vs<vscr,场地液化。

相关内容:建筑,场地,砂土,卵石,地下水,地表,测试,剪切,波速,烈度

猜你喜欢

发表评论
更多 网友评论0 条评论)
暂无评论

访问排行

Copyright © 2012-2014 恰考网 Inc. 保留所有权利。 Powered by tikuer.com

页面耗时0.0409秒, 内存占用1.05 MB, Cache:redis,访问数据库20次