条形基础宽2m,基底埋深1.50m,地下水位在地面以下1.50m,基础底面的设计荷载为350kN/m,土层厚度与有关的试验指标见下表: ...

作者: tihaiku 人气: - 评论: 0
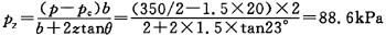
问题 条形基础宽2m,基底埋深1.50m,地下水位在地面以下1.50m,基础底面的设计荷载为350kN/m,土层厚度与有关的试验指标见下表: 土层厚度与有关的试验指标 A层号 B土层厚度( C 天然容重γ(kN/m3) D 压缩模量Es(MP E① F3 G20 H12.0 I② J5 K18 L4.0
选项
答案 A
解析

相关内容:条形,基础,基底,埋深,地下,水位,地面,设计,荷载,土层,厚度,有关,试验,指标

猜你喜欢

发表评论
更多 网友评论0 条评论)
暂无评论

访问排行

Copyright © 2012-2014 恰考网 Inc. 保留所有权利。 Powered by tikuer.com

页面耗时0.0444秒, 内存占用1.04 MB, Cache:redis,访问数据库20次