某一墙面直立、墙顶面与土堤顶面齐平的重力式挡土墙高3.0m,顶宽1.0m,底宽1.6m,如图所示。已知墙背主动土压力水平分力Ex=175kN/m,竖向分力...

作者: tihaiku 人气: - 评论: 0
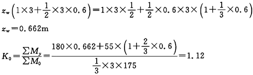
问题 某一墙面直立、墙顶面与土堤顶面齐平的重力式挡土墙高3.0m,顶宽1.0m,底宽1.6m,如图所示。已知墙背主动土压力水平分力Ex=175kN/m,竖向分力Ey= 55kN/m,墙身自重W=180kN/m,则挡土墙抗倾覆稳定性系数为( )。
选项 A1.05 B1.12 C1.20 D1.30
答案 B
解析 按《铁路路基支挡结构设计规范》(TB 10025—2001)第3.3.3条计算 设挡土墙截面重心距墙趾的距离为zw

相关内容:墙面,墙顶,土堤顶,齐平,重力,式挡,土墙,如图,墙背,压力,水平,分力

猜你喜欢

发表评论
更多 网友评论0 条评论)
暂无评论

访问排行

Copyright © 2012-2014 恰考网 Inc. 保留所有权利。 Powered by tikuer.com

页面耗时0.0397秒, 内存占用1.05 MB, Cache:redis,访问数据库20次