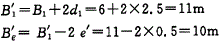
某港口码头采用条形基础,基础底面宽度为6m,抛石基床厚度为2.5m,抛石基床底面合力标准值的偏心距为0.5m,则抛石基床底面处的有效受压宽度为( )m。...

作者: tihaiku 人气: - 评论: 0
问题 某港口码头采用条形基础,基础底面宽度为6m,抛石基床厚度为2.5m,抛石基床底面合力标准值的偏心距为0.5m,则抛石基床底面处的有效受压宽度为( )m。
选项 A.9 B.10 C.11 D.12
答案 B
解析 根据《港口工程地基规范》(JTJ 250—98)第4.1.4条计算

相关内容:港口,码头,条形,基础,底面,宽度,石基,厚度,合力,标准值

猜你喜欢

发表评论
更多 网友评论0 条评论)
暂无评论

访问排行

Copyright © 2012-2014 恰考网 Inc. 保留所有权利。 Powered by tikuer.com

页面耗时0.0587秒, 内存占用1.05 MB, Cache:redis,访问数据库20次