某砌体承重办公楼基础采用墙下钢筋混凝土条形基础,b=1.1m,采用C15混凝土 (ft=7.5MPa),底层承重墙厚240mm,作用在±0.000处相应于...

作者: tihaiku 人气: - 评论: 0
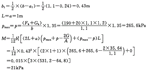
问题 某砌体承重办公楼基础采用墙下钢筋混凝土条形基础,b=1.1m,采用C15混凝土 (ft=7.5MPa),底层承重墙厚240mm,作用在±0.000处相应于荷载效应标准组合的竖向轴心荷载Fk=190kN/m。地基情况如图所示。试计算控制截面弯矩M,其值为 ( )kN·m。 A21.0 B37.1 C17.1 D47.1
选项
答案 A
解析

相关内容:砌体,办公楼,基础,钢筋混凝土,条形,混凝土,7.5MPa,底层,墙厚,0.000处,应于

猜你喜欢

发表评论
更多 网友评论0 条评论)
暂无评论

访问排行

Copyright © 2012-2014 恰考网 Inc. 保留所有权利。 Powered by tikuer.com

页面耗时0.0307秒, 内存占用1.05 MB, Cache:redis,访问数据库19次