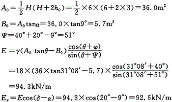
一铁路路堤挡土墙高6.0m,墙背仰斜角a为9°,墙后填土重度γ为18kN/m3,内摩擦角φ为40°,墙背与填料间摩擦角δ为20°,填土破裂角θ为31°08...
相关内容:铁路,路堤,土墙,墙背,斜角,填料,摩擦,破裂
猜你喜欢
- 元杂剧中,女性形象是一道鲜艳夺目的风景,冲破封建礼教束缚、追求理想与幸福、平等而独立的尊严意识在瑰丽隽永的唱词中展现得淋漓尽致。下列元杂剧和剧中女性角色对...
- 患者男。YZ706_159_5.gif缺失,余留牙正常,口底距舌侧龈缘的距离为4mm,如果设计铸造支架可摘局部义齿,设计PRI卡环组。取本例患者下颌模型时...
- 抗利尿激素在下列哪一部位合成A.腺垂体B.腺垂体后叶C.垂体柄D.下丘脑E.肾
- 根据下列资料回答问题。2009年1-3月,入境旅游的日本游客人数约为( )。A. 105. 86 万人 B. 91.11 万人C. 88....
- 下列属于融资租赁优点的有:A、节约资金
B、尽快形成生产能力
C、融资租赁成本较低
D、使企业现金流入和流出相对同步
E、增加资金...
- A.有机磷杀虫农药中毒B.一氧化碳中毒C.氰化物中毒D.重金属中毒E.酒精中毒抑制细胞色素氧化酶活性见于
- 下列进口货物中,免征进口关税的是( )。A.外国企业无偿赠送的物资
B.无商业价值的广告品
C.在海关放行前遭受损坏的货物
D.关税税额为人民币8...
- 男性54岁,车祸,右胫腓骨中1/3粉碎骨折,复位后夹板固定,因右小腿肿胀足趾剧烈疼痛伤后36小时转诊,检查:右足趾明显肿胀,青紫,感觉麻木,足趾活动差,毛...
- 未分配利润账户的借方余额表示______。A.本期实现的净利润
B.本期发生的净亏损
C.尚未分配的利润
D.尚未弥补的亏损
- 磺胺过敏、白细胞减少患者禁用A. 含对乙酰氨基酚的中药
B. 含马来酸氯苯那敏的中药
C. 含格列本脲的中药
D. 含吲哚美辛的中药
E. 含盐酸...