某场地抗震设防烈度为8度,设计地震分组为第二组,场地类别为Ⅰ类。建筑物 A和建筑物B的结构自振周期分别为TA=0.25s和Tb=0.4s。根据《建筑抗震设...

作者: tihaiku 人气: - 评论: 0
问题 某场地抗震设防烈度为8度,设计地震分组为第二组,场地类别为Ⅰ类。建筑物 A和建筑物B的结构自振周期分别为TA=0.25s和Tb=0.4s。根据《建筑抗震设计规范》(GB 50011—2001),如果建筑物A和B的地震影响系数分别为aA和aB。则aA/aB的值为( )。
选项 A.0.5 B.1.1 C.1.3 D.1.8
答案 C
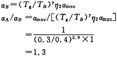
解析 根据《建筑抗震设计规范》(GB 50011—2001)第5.1.4条及5.1.5条计算 Tg=0.3s,假定阻尼比为0.05 aA/aB=amax/[(Tg/TB)γη2amax] 根据规范图5.1.5得 aA=η2amax=amax

相关内容:场地,抗震,设防,烈度,设计,地震,分组,别为,建筑物,结构,自振,周期,根据,建筑

猜你喜欢

发表评论
更多 网友评论0 条评论)
暂无评论

访问排行

Copyright © 2012-2014 恰考网 Inc. 保留所有权利。 Powered by tikuer.com

页面耗时0.0707秒, 内存占用1.04 MB, Cache:redis,访问数据库18次