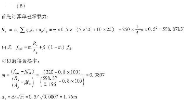
某场地地基土层构成为:第一层为粘土,厚度为5.0m,fak=100kPa,qs=20kPa,qp= 150kPa;第二层粉质粘土,厚度为12.0m,
f...
相关内容:场地,地基,土层,粘土,厚度,100kPa,150kPa,粉质
猜你喜欢
- ( )的目的是促进个体在人际关系中公开表达自己的真实情感和观点,维护自己权益也尊重别人权益,发展人的自我肯定行为。A.全身松弛法 B.系统脱敏法C...
- 知觉的选择性
- 川芎善治A.血瘀与食积重症B.风邪及血瘀头痛C.风湿肢臂痛D.肠痈肺痈E.水瘀互结水肿
- 《义务教育美术课程标准(2011年版)》中的教学建议是什么
- 患者,男58岁,高血压病史5年,吸烟史40年日均40支,6小时前出现左侧肢体无力,并逐渐加重,不能站立,家属发现其说话迟钝含混,右侧嘴唇变浅,意识清楚,到...
- 领土由领陆、____和领空三部分组成。(出题单位:自然资源部地信司 ?中国地图出版集团)A、领海
B、领水
- 下列单式补泻手法中,属于补法的有A.徐徐刺入,少捻转,疾速出针
B.针尖顺着经脉循行方向刺入
C.得气后,捻转角度小,用力轻,频率慢,操作时间短
D...
- 经济增长速度较快时,社会资金需求旺盛,市场利率()。A:上升 B:下降 C:无变化 D:无法判断
- 当( )时,交易所有权发出风险警示公告,向全体会员和客户警示风险。A.期货价格和现货价格出现较大差距 B.会员涉嫌违规、违约 C.期货价格出现异常...
- 关于神经症,正确的叙述是A 多数伴有人格障碍
B 多在强烈心理刺激下发病
C 症状的特异性较差
D 起病一般较急
E 患者的社会功能不受影响