某条形基础宽度2.50m,埋深2.00m。场区地面以下为厚度1.50m的填土,γ=17kN/m3;填土层以下为厚度6.00m的细砂层,γ=19kN/m3,...

作者: tihaiku 人气: - 评论: 0
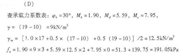
问题 某条形基础宽度2.50m,埋深2.00m。场区地面以下为厚度1.50m的填土,γ=17kN/m3;填土层以下为厚度6.00m的细砂层,γ=19kN/m3,ck=0、φk=30o。地下水位埋深1.0m。根据土的抗剪强度指标计算的地基承载力特征值最接近于以下的哪个选项? (A) 160kPa (B) 170kPa (C) 180kPa (D) 190kPa
选项
答案 D
解析

相关内容:条形,基础,宽度,埋深,场区,地面,厚度,土层,细砂

猜你喜欢

发表评论
更多 网友评论0 条评论)
暂无评论

访问排行

Copyright © 2012-2014 恰考网 Inc. 保留所有权利。 Powered by tikuer.com

页面耗时0.0550秒, 内存占用1.04 MB, Cache:redis,访问数据库18次