某土坝坝基有两层土组成,上层土为粉土,孔隙比0.667,比重2.67,层厚3.0m,第二层土为中砂,土石坝上下游水头差为3.0m,为保证坝基的渗透稳定,下...

作者: tihaiku 人气: - 评论: 0
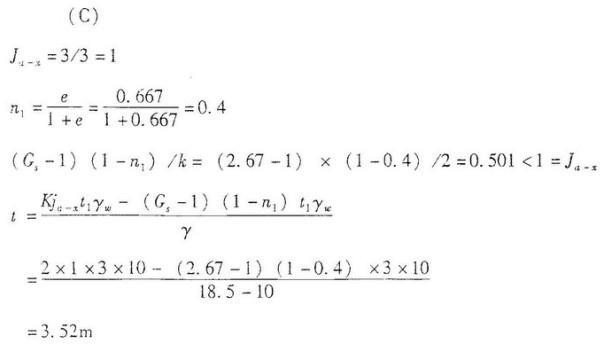
问题 某土坝坝基有两层土组成,上层土为粉土,孔隙比0.667,比重2.67,层厚3.0m,第二层土为中砂,土石坝上下游水头差为3.0m,为保证坝基的渗透稳定,下游拟采用排水盖重层措施,如安全系数取2.0,根据《碾压土石坝设计规范》(SL274-2001),排水盖重层(其重度18.5kN/m3)的厚度最接近下列哪一个数值?
选项
答案 C
解析

相关内容:某土,坝基,上层,粉土,孔隙,比重,层厚,中砂,土石,水头

猜你喜欢

发表评论
更多 网友评论0 条评论)
暂无评论

访问排行

Copyright © 2012-2014 恰考网 Inc. 保留所有权利。 Powered by tikuer.com

页面耗时0.0407秒, 内存占用1.05 MB, Cache:redis,访问数据库18次