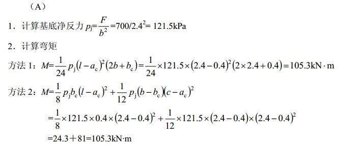
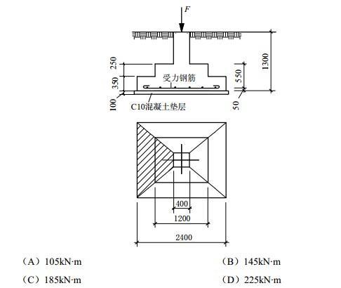
如图示(图中单位为mm),某建筑采用柱下独立方形基础,基础底面尺寸为2.4mX2.4m, 柱截面尺寸为0.4mX0.4m。基础顶面中心处作用的柱轴竖向力为...

作者: tihaiku 人气: - 评论: 0
问题 如图示(图中单位为mm),某建筑采用柱下独立方形基础,基础底面尺寸为2.4mX2.4m, 柱截面尺寸为0.4mX0.4m。基础顶面中心处作用的柱轴竖向力为F=700kN,力矩M=0,根据《建筑地基基础设计规范》(GB50007-2002),试问基础的柱边截面处的弯矩设计值最接近于下列何项数值?
选项
答案 A
解析

相关内容:图中,单位,建筑,柱下,基础,底面,尺寸,2.4mX2.4m,截面,0.4mX0.4m,顶面,中心,处作,柱轴

猜你喜欢

发表评论
更多 网友评论0 条评论)
暂无评论

访问排行

Copyright © 2012-2014 恰考网 Inc. 保留所有权利。 Powered by tikuer.com

页面耗时0.0535秒, 内存占用1.04 MB, Cache:redis,访问数据库20次