某软土地基拟采用堆载预压法进行加固,已知淤泥的水平向排水固结系数为ch=3.5X10-4cm2/s,塑料排水板宽度为100mm,厚度为4mm,间距为1.0...

作者: tihaiku 人气: - 评论: 0
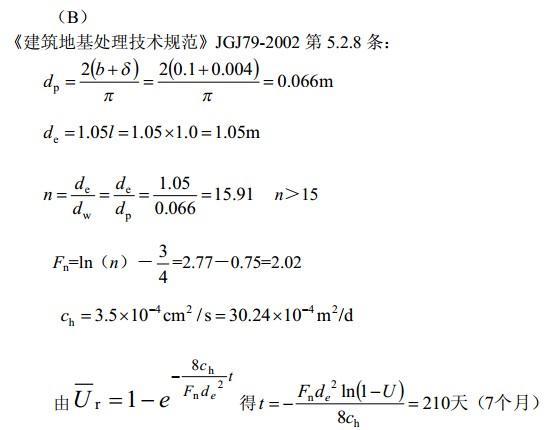
问题 某软土地基拟采用堆载预压法进行加固,已知淤泥的水平向排水固结系数为ch=3.5X10-4cm2/s,塑料排水板宽度为100mm,厚度为4mm,间距为1.0m,等边三角形布置,预压荷载一次施加,如果不计竖向排水固结和排水板的井阻及涂抹的影响,按《建筑地基处理技术规范》(JGJ79-2002)计算,试问当淤泥固结度达到90%时,所需的预压时间与下列何项最为接近? (A) 5个月 (B) 7个月 (C) 8个月 (D) 10个月
选项
答案 B
解析

相关内容:软土,地基,堆载,预压,加固,淤泥,水平,排水,系数,3.5X10-4cm2,塑料,宽度,厚度,间距,1.0...

猜你喜欢

发表评论
更多 网友评论0 条评论)
暂无评论

访问排行

Copyright © 2012-2014 恰考网 Inc. 保留所有权利。 Powered by tikuer.com

页面耗时0.0337秒, 内存占用1.05 MB, Cache:redis,访问数据库19次