拟在砂卵石地基中开挖10m深的基坑,地下水与地面齐平,坑底为基岩。拟用旋喷法形成厚度2m的截水墙,在墙内放坡开挖基坑,坡度为1:1.5。截水墙外侧砂卵石的...

作者: tihaiku 人气: - 评论: 0
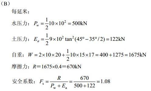
问题 拟在砂卵石地基中开挖10m深的基坑,地下水与地面齐平,坑底为基岩。拟用旋喷法形成厚度2m的截水墙,在墙内放坡开挖基坑,坡度为1:1.5。截水墙外侧砂卵石的饱和重度为19kN/m3,截水墙内侧砂卵石重度17kN/m3,内摩擦角φ=35o(水上下相同),截水墙水泥土重度为γ=20kN/m3,墙底及砂卵石土抗滑体与基岩的摩擦系数μ=0.4。试问该挡土体的抗滑稳定安全系数最接近于下列何项数值?
选项
答案 B
解析

相关内容:卵石,地基,开挖,基坑,地下水,地面,齐平,坑底,基岩,旋喷,厚度,截水,坡度

猜你喜欢

发表评论
更多 网友评论0 条评论)
暂无评论

访问排行

Copyright © 2012-2014 恰考网 Inc. 保留所有权利。 Powered by tikuer.com

页面耗时0.0365秒, 内存占用1.05 MB, Cache:redis,访问数据库20次