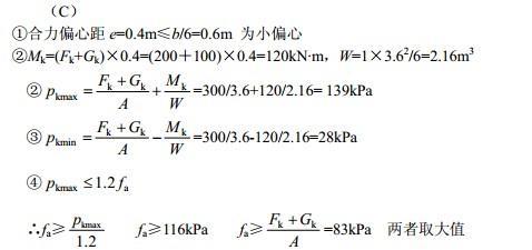
条形基础宽度为3.6m,基础自重和基础上的土重为Gk=100kN/m,上部结构传至基础顶面的竖向力值为Fk=200kN/m。Fk+Gk合力的偏心距为0.4...

作者: tihaiku 人气: - 评论: 0
问题 条形基础宽度为3.6m,基础自重和基础上的土重为Gk=100kN/m,上部结构传至基础顶面的竖向力值为Fk=200kN/m。Fk+Gk合力的偏心距为0.4m,修正后的地基承载力特征值至少要达到下列哪个选项的数值时才能满足承载力验算要求? (A) 68kPa (B) 83kPa (C) 116kPa (D) 139kPa
选项
答案 C
解析

相关内容:条形,基础,宽度,自重,土重,结构,力值,合力,0.4...

猜你喜欢

发表评论
更多 网友评论0 条评论)
暂无评论

访问排行

Copyright © 2012-2014 恰考网 Inc. 保留所有权利。 Powered by tikuer.com

页面耗时0.0426秒, 内存占用1.05 MB, Cache:redis,访问数据库19次