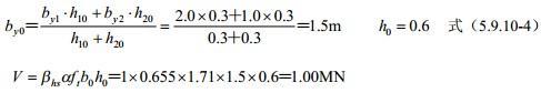
柱下桩基承台,承台混凝土轴心抗拉强度设计值ft=1.71MPa,试按《建筑桩基技术规范》(JGJ94-2008),计算承台柱边A1-A1斜截面的受剪承载力...

作者: tihaiku 人气: - 评论: 0
问题 柱下桩基承台,承台混凝土轴心抗拉强度设计值ft=1.71MPa,试按《建筑桩基技术规范》(JGJ94-2008),计算承台柱边A1-A1斜截面的受剪承载力,其值与下列何项数值最为接近?(图中尺寸单位为mm。)
选项
答案 A
解析

相关内容:柱下,桩基,混凝土,轴心,抗拉,强度,设计,1.71MPa,试按,建筑桩基技术规范,JGJ94-2008,台柱,斜截,受剪,承载力

猜你喜欢

发表评论
更多 网友评论0 条评论)
暂无评论

访问排行

Copyright © 2012-2014 恰考网 Inc. 保留所有权利。 Powered by tikuer.com

页面耗时0.0287秒, 内存占用1.05 MB, Cache:redis,访问数据库18次