某填海造地工程对软土地基拟采用堆载预压法进行加固,已知海水深1.0m,下卧淤泥层厚度10.0m,天然密度ρ=1.5g/cm3,室内固结试验测得各级压力下的...

作者: tihaiku 人气: - 评论: 0
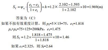
问题 某填海造地工程对软土地基拟采用堆载预压法进行加固,已知海水深1.0m,下卧淤泥层厚度10.0m,天然密度ρ=1.5g/cm3,室内固结试验测得各级压力下的孔隙比如表1 所示。如果淤泥上覆填土的附加压力P0取125kPa,按《建筑地基处理技术规范》(JGJ79-2002)计算该淤泥的最终沉降量,取经验修正系数为1.2,将10m厚的淤泥层按一层计算,则最终沉降量最接近以下哪个数值? (A) 1.46m (C) 1.96m (B) 1.82m (D) 2.64m
选项
答案 C
解析

相关内容:填海,造地,工程,软土,地基,堆载,预压,加固,已知海,水深,下卧,淤泥,厚度,天然,密度,室内,试验,压力

猜你喜欢

发表评论
更多 网友评论0 条评论)
暂无评论

访问排行

Copyright © 2012-2014 恰考网 Inc. 保留所有权利。 Powered by tikuer.com

页面耗时0.0392秒, 内存占用1.05 MB, Cache:redis,访问数据库20次