某拟建工程建成后正常蓄水深度3.0m。该地区抗震设防烈度为7度,只考虑近震影响。因地层松散,设计采用挤密法进行地基处理,处理后保持地面标高不变。勘察时地下...

作者: tihaiku 人气: - 评论: 0
问题 某拟建工程建成后正常蓄水深度3.0m。该地区抗震设防烈度为7度,只考虑近震影响。因地层松散,设计采用挤密法进行地基处理,处理后保持地面标高不变。勘察时地下水位埋深3m,地下5m深度处粉细砂的标准贯入试验实测击数为5,取扰动样室内测定黏粒含量(A) 5 击 (B) 13 击 (C) 19 击 (D) 30 击
选项
答案 B
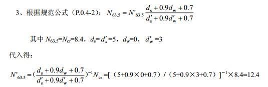
解析

相关内容:工程,地区,抗震,设防,烈度,影响,地层,设计,密法,地基处理,地面,标高,勘察,地下

猜你喜欢

发表评论
更多 网友评论0 条评论)
暂无评论

访问排行

Copyright © 2012-2014 恰考网 Inc. 保留所有权利。 Powered by tikuer.com

页面耗时0.0285秒, 内存占用1.05 MB, Cache:redis,访问数据库18次