某工程场地进行十字板剪切试验,测定的8m以内土层的不排水抗剪强度如下: 其中软土层的十字板剪切强度与深度呈线性相关(相关系数r=0.98),最能代表...

作者: tihaiku 人气: - 评论: 0
问题 某工程场地进行十字板剪切试验,测定的8m以内土层的不排水抗剪强度如下: 其中软土层的十字板剪切强度与深度呈线性相关(相关系数r=0.98),最能代表试验深度范围内软土不排水抗剪强度标准值的是下列哪个选项? (A) 9.5kPa (B) 12.5kPa (C) 13.9kPa (D) 17.5kPa
选项
答案 B
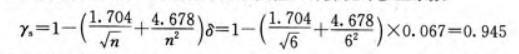
解析 【解答】 (1)由各深度的十字板抗剪峰值强度值可知,深度1.0m、2.0m为浅部硬壳层,不应参加统计。 (2)软土十字板抗剪强度平均值: (3)计算标准差: 由于软土十字板抗剪强度与深度呈线性相关,剩余标准差为: 其变异系数为 (4)抗剪强度修正时按不利组合考虑取负值,计算统计修正系数 (5)该场地软土的十字板峰值抗剪强度标准值Cuk=γsCum=0.945×13.2=12.5kPa 【分析】 本题考查点在于岩土参数的分析和选定,岩土参数的标准值是岩土设计的基本代表值,是岩土参数的可靠性估值。本题解题的依据是《岩土工程勘察规范》GB 50021(2009年版)第14.2节的相关规定。依照规范给定的公式,依次计算平均值、标准差、变异系数和统计修正系数,最后求出标准值,其中大部分计算过程可以用工程计算器中统计功能完成。在解题过程中应注意以下几点: (1)要对参加统计的数据进行取舍,剔除异常值。如本题深度 1.0m、2.0m为浅部硬壳层,其数值不能代表软土层的抗剪强度,应予以剔除。 (2)十字板抗剪强度值随深度增加而变大,属相关型参数(相关系数题干已给出)。规范规定,对相关型参数应用剩余标准差计算变异系数。 (3)参数标准值应按不利组合取值。如本题的抗剪强度指标应取小值。

相关内容:工程,场地,十字,剪切,试验,土层,排水,抗剪,强度,如下,深度,线性,相关,系数,代表

猜你喜欢

发表评论
更多 网友评论0 条评论)
暂无评论

访问排行

Copyright © 2012-2014 恰考网 Inc. 保留所有权利。 Powered by tikuer.com

页面耗时0.0540秒, 内存占用1.05 MB, Cache:redis,访问数据库20次