某钻孔灌注桩单桩基础,桩径1.2m,桩长16m,土层条件如图所示,地下水位在桩顶平面处。若桩顶平面处作用大面积堆载p=50kPa,根据《建筑桩基技术规范》...

作者: tihaiku 人气: - 评论: 0
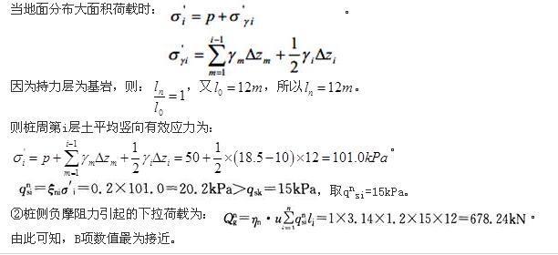
问题 某钻孔灌注桩单桩基础,桩径1.2m,桩长16m,土层条件如图所示,地下水位在桩顶平面处。若桩顶平面处作用大面积堆载p=50kPa,根据《建筑桩基技术规范》(JGJ 94—2008),桩侧负摩阻力引起的下拉荷载Qng最接近下列何值?(  )(忽略密实粉砂层的压缩量)
选项 A、240kN B、680kN C、910kN D、1220kN
答案 B
解析 根据《建筑桩基技术规范》(JGJ 94—2008)第5.4.4条,桩侧负摩阻力及其引起的下拉荷载,当无实测资料时可按下列规定计算: ①中性点以上单桩桩周第i层土负摩阻力标准值,可按下列公式计算:

相关内容:钻孔,灌注桩,桩基础,桩径,桩长,土层,条件,如图,地下,水位,桩顶,平面,若桩顶,作用,大面积,堆载,根据,建筑桩基技术规范

猜你喜欢

发表评论
更多 网友评论0 条评论)
暂无评论

访问排行

Copyright © 2012-2014 恰考网 Inc. 保留所有权利。 Powered by tikuer.com

页面耗时0.0439秒, 内存占用1.05 MB, Cache:redis,访问数据库20次