某乙类建筑位于建筑设防烈度8度地区,设计基本地震加速度值为0.20g,设计地震分组为第一组,钻孔揭露的土层分布及实测的标贯锤击数如下表所示,近期内年最高地...

作者: tihaiku 人气: - 评论: 0
问题 某乙类建筑位于建筑设防烈度8度地区,设计基本地震加速度值为0.20g,设计地震分组为第一组,钻孔揭露的土层分布及实测的标贯锤击数如下表所示,近期内年最高地下水埋深6.5m。拟建建筑基础埋深1.5m,根据钻孔资料下列哪个选项的说法是正确的?(  ) 题27表 各深度处膨胀土的工程特性指标表
选项 A、可不考虑液化影响 B、轻微液化 C、中等液化 D、严重液化
答案 A
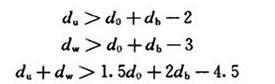
解析 根据《建筑抗震设计规范》(GB 50011—2010)第4.3.3条第3款规定,浅埋天然地基的基础,当上覆非液化土层厚度和地下水位深度符合下列条件之一时,可不考虑液化影响: ①对于第3层粉砂:此处位于8度设防区,砂土,查表4.3.3得,液化土特征深度为:d0=8m。 上覆盖非液化土层厚度为:db=1.5m≤2m,取db=2m。 du=6m1.5d0+2db-4.5=1.5×8+2×2-4.5=11.5m。 故可不考虑液化影响。 ②对于第四层细砂: du=9.5m>d0+db-2=8+2-2=8m。故可不考虑液化影响。

相关内容:乙类,建筑,设防,烈度,地区,设计,地震,加速度,分组,钻孔,土层,实测,标贯,锤击,数如,年最,高地

猜你喜欢

发表评论
更多 网友评论0 条评论)
暂无评论

访问排行

Copyright © 2012-2014 恰考网 Inc. 保留所有权利。 Powered by tikuer.com

页面耗时0.0416秒, 内存占用1.05 MB, Cache:redis,访问数据库19次