某既有建筑基础为条形基础,基础宽度b=3.0m,埋深d=2.0m,剖面如图所示。由于房屋改建,拟增加一层,导致基础底面压力p由原来的65kPa增加至85k...

作者: tihaiku 人气: - 评论: 0
问题 某既有建筑基础为条形基础,基础宽度b=3.0m,埋深d=2.0m,剖面如图所示。由于房屋改建,拟增加一层,导致基础底面压力p由原来的65kPa增加至85kPa,沉降计算经验系数ψs=1.0。计算由于房屋改建使淤泥质黏土层产生的附加压缩量最接近以下何值?(  )
选项 A、9、0mm B、10、0mm C、20、0mm D、35、0mm
答案 C
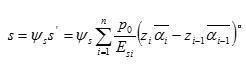
解析 根据《建筑地基基础设计规范》(GB 50007—2011)第5.3.5条式(5.3.5),附加压缩量为: 本题解题步骤如下表所示:

相关内容:建筑,基础,条形,宽度,埋深,剖面,如图,房屋,底面,压力,85k...

猜你喜欢

发表评论
更多 网友评论0 条评论)
暂无评论

访问排行

Copyright © 2012-2014 恰考网 Inc. 保留所有权利。 Powered by tikuer.com

页面耗时0.0387秒, 内存占用1.04 MB, Cache:redis,访问数据库15次