某公路桥梁采用振动沉入预制桩,桩身截面尺寸为400mm×400mm,地层条件和桩入土深度如图所示。桩基可能承受拉力,根据《公路桥涵地基与基础设计规范》(J...

作者: tihaiku 人气: - 评论: 0
问题 某公路桥梁采用振动沉入预制桩,桩身截面尺寸为400mm×400mm,地层条件和桩入土深度如图所示。桩基可能承受拉力,根据《公路桥涵地基与基础设计规范》(JTG D63—2007),桩基受拉承载力容许值最接近下列何值?(  )
选项 A、98kN B、138kN C、188kN D、228kN
答案 C
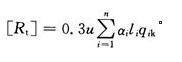
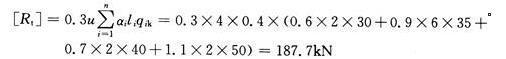
解析 根据《公路桥涵地基与基础设计规范》(JTG D63—2007)第5.3.8条式(5.3.8)计算桩基受拉承载力容许值,即: 式中,为振动沉桩对各土层桩侧摩阻力的影响系数,查表5.3.3-6,分别为0.6、0.9、0.7和1.1。 则桩基受拉承载力容许值为: 由此可知,C项数值最为接近。

相关内容:公路桥梁,振动,桩身,截面,尺寸,地层,条件,入土,深度,如图,桩基,可能,承受,拉力,根据,公路桥涵地基与基础设计规范

猜你喜欢

发表评论
更多 网友评论0 条评论)
暂无评论

访问排行

Copyright © 2012-2014 恰考网 Inc. 保留所有权利。 Powered by tikuer.com

页面耗时0.0384秒, 内存占用1.05 MB, Cache:redis,访问数据库20次