某住宅楼一独立承台,作用于基底的附加压力P0=600kPa,基底以下土层主要为:①中砂~砾砂,厚度为8.0m,承载力特征值为200kPa,压缩模量为10....

作者: tihaiku 人气: - 评论: 0
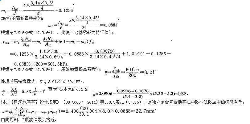
问题 某住宅楼一独立承台,作用于基底的附加压力P0=600kPa,基底以下土层主要为:①中砂~砾砂,厚度为8.0m,承载力特征值为200kPa,压缩模量为10.0MPa;②含砂粉质黏土,厚度16.0m,压缩模量8.0MPa,下卧为微风化大理岩。拟采用CFG桩+水泥土搅拌桩复合地基,承台尺寸3.0×3.0m,布桩如图所示,CFG桩桩径φ450mm,桩长为20m,设计单桩竖向抗压承载力特征值Ra=700kN;水泥土搅拌桩直径为φ600mm,桩长为10m,设计单桩竖向受压承载力特征值Ra=300kN,假定复合地基的沉降计算地区经验系数ψs=0.4。根据《建筑地基处理技术规范》(JGJ 79—2012),问该独立承台复合地基在中砂~砾砂层中的沉降量最接近下列哪个选项?(  )(单桩承载力发挥系数:CFG桩λ1=0.8,水泥土搅拌桩λ2=1.0;桩问土承载力发挥系数fl=1.0)
选项 A、68、0ram B、45、0ram C、34、0mm D、23、0mm
答案 D
解析 根据《建筑地基处理技术规范》(JGJ 79—2012)第7.9.7条第1款规定,中砂~砾砂层中作用有两种桩时,搅拌桩的面积置换率为:

相关内容:住宅楼,基底,附加,压力,600kPa,土层,中砂,砾砂,厚度,承载力,特征值,200kPa,模量,10....

猜你喜欢

发表评论
更多 网友评论0 条评论)
暂无评论

访问排行

Copyright © 2012-2014 恰考网 Inc. 保留所有权利。 Powered by tikuer.com

页面耗时0.0380秒, 内存占用1.05 MB, Cache:redis,访问数据库20次