某砂土边坡,高6m,砂土的γ=20kN/m3、c=0、φ=30°。采用钢筋混凝土扶壁式挡土结构,此时该挡墙的抗倾覆安全系数为1.70。工程建成后需在坡顶堆...

作者: tihaiku 人气: - 评论: 0
问题 某砂土边坡,高6m,砂土的γ=20kN/m3、c=0、φ=30°。采用钢筋混凝土扶壁式挡土结构,此时该挡墙的抗倾覆安全系数为1.70。工程建成后需在坡顶堆载q=40kPa,拟采用预应力锚索进行加固,锚索的水平间距2.0m,下倾角15°,土压力按朗肯理论计算,根据《建筑边坡工程技术规范》(GB 50330—2013),如果要保证坡顶堆载后扶壁式挡土结构的抗倾覆安全系数不小于1.60,问锚索的轴向拉力标准值应最接近于下列哪个选项?(  )
选项 A、136kN B、325kN C、345kN D、367kN
答案 B
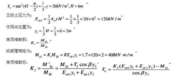
解析 解法一: 根据《建筑边坡工程技术规范》(GB 50330—2013)附录F第F.0.4条计算如下: ⑤锚索轴向拉力标准值为2T=273.2kN。由此可知,B项数值最为接近。 解法二: 根据《建筑边坡工程技术规范》(GB 50330—2013)第3.3.2条,抗倾覆稳定性验算时,荷载效应组合应采用承载能力极限状态的基本组合,但其荷载分项系数均取1.0。

相关内容:砂土,边坡,钢筋混凝土,式挡,结构,挡墙,工程,坡顶堆

猜你喜欢

发表评论
更多 网友评论0 条评论)
暂无评论

访问排行

Copyright © 2012-2014 恰考网 Inc. 保留所有权利。 Powered by tikuer.com

页面耗时0.0378秒, 内存占用1.05 MB, Cache:redis,访问数据库20次