某Ⅰ级铁路路基,拟采用土工格栅加筋土挡墙的支挡结构,高10m,土工格栅拉筋的上下层间距为1.0m,拉筋与填料间的黏聚力为5kPa,拉筋与填料之间的内摩擦角...

作者: tihaiku 人气: - 评论: 0
问题 某Ⅰ级铁路路基,拟采用土工格栅加筋土挡墙的支挡结构,高10m,土工格栅拉筋的上下层间距为1.0m,拉筋与填料间的黏聚力为5kPa,拉筋与填料之间的内摩擦角为15°,重度为21kN/m3。经计算,6m深度处的水平土压应力为75kPa,根据《铁路路基支挡结构设计规范》(TB 10025—2006),深度6m处的拉筋的水平回折包裹长度的计算值最接近下列哪个选项?(  )
选项 A、1、0m B、1、5m C、2、0m D、2、5m
答案 A
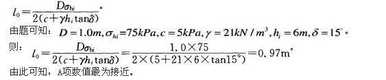
解析 根据《铁路路基支挡结构设计规范》(TB l0025—2006)第8.2.14条式(8.2.14),深度6m处的拉筋的水平回折包裹长度为:

相关内容:铁路,路基,土工,格栅,加筋,挡墙,支挡,结构,拉筋,间距,填料,黏聚

猜你喜欢

发表评论
更多 网友评论0 条评论)
暂无评论

访问排行

Copyright © 2012-2014 恰考网 Inc. 保留所有权利。 Powered by tikuer.com

页面耗时0.0452秒, 内存占用1.04 MB, Cache:redis,访问数据库18次