某工程勘察报告揭示的地层条件以及桩的极限侧阻力和极限端阻力标准值如图所示,拟采用干作业钻孔灌注桩基础,桩设计直径为1.0m,设计桩顶位于地面下1.0m,桩...

作者: tihaiku 人气: - 评论: 0
问题 某工程勘察报告揭示的地层条件以及桩的极限侧阻力和极限端阻力标准值如图所示,拟采用干作业钻孔灌注桩基础,桩设计直径为1.0m,设计桩顶位于地面下1.0m,桩端进入粉细砂层2.0m。采用单一桩端后注浆,根据《建筑桩基技术规范》(JGJ 94—2008),计算单桩竖向极限承载力标准值最接近下列哪个选项?(桩侧阻力和桩端阻力的后注浆增强系数均取规范表中的低值)(  )
选项 A、 4400kN B、 4800kN C、 5100kN D、 5500kN
答案 A
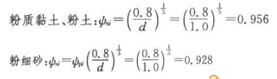
解析 根据《建筑桩基技术规范》(JGJ 94—2008)第5.3.6条、5.3.10条规定,单桩竖向极限承载力标准值可按下式计算: 根据第5.3.6条表可计算出ysi、ypi的值。 代入数据得: 表 大直径灌注桩侧阻尺寸效应系数ysi、端阻尺寸效应系数yp

相关内容:工程勘察,报告,地层,条件,极限,阻力,标准值,如图,作业,钻孔,灌注,桩基础,设计,直径,桩顶

猜你喜欢

发表评论
更多 网友评论0 条评论)
暂无评论

访问排行

Copyright © 2012-2014 恰考网 Inc. 保留所有权利。 Powered by tikuer.com

页面耗时0.0460秒, 内存占用1.05 MB, Cache:redis,访问数据库20次