柱基A宽度b=2m,柱宽度为0.4m,柱基内、外侧回填土及地面堆载的纵向长度均为20m。柱基内、外侧回填土厚度分别为2.0m、1.5m,回填土的重度为18...

作者: tihaiku 人气: - 评论: 0
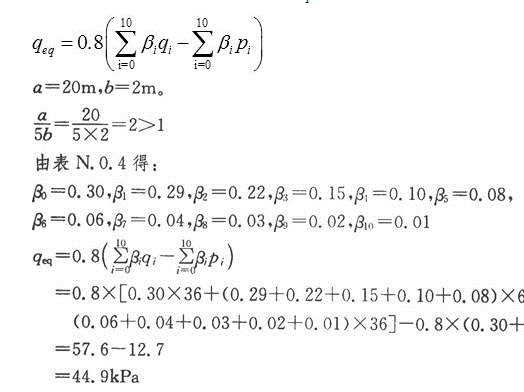
问题 柱基A宽度b=2m,柱宽度为0.4m,柱基内、外侧回填土及地面堆载的纵向长度均为20m。柱基内、外侧回填土厚度分别为2.0m、1.5m,回填土的重度为18kN/m3,内侧地面堆载为30kPa,回填土及堆载范围如图所示。根据《建筑地基基础设计规范》(GB 50007—2011),计算回填土及地面堆载作用下柱基A内侧边缘中点的地基附加沉降量时,其等效均布地面荷载最接近下列哪个选项的数值?(  ) 1—地面堆载;2—回填土
选项 A、 40kPa B、 45kPa C、 50kPa D、 55kPa
答案 B
解析 根据《建筑地基基础设计规范》(GB 50007—2011)第7.5.5条、附录N规定, 计算过程如下: 根据N.0.4条规定等效均布地面荷载qeq的求解公式为

相关内容:柱基,宽度,地面,堆载,纵向,长度,厚度

猜你喜欢

发表评论
更多 网友评论0 条评论)
暂无评论

访问排行

Copyright © 2012-2014 恰考网 Inc. 保留所有权利。 Powered by tikuer.com

页面耗时0.0386秒, 内存占用1.04 MB, Cache:redis,访问数据库14次