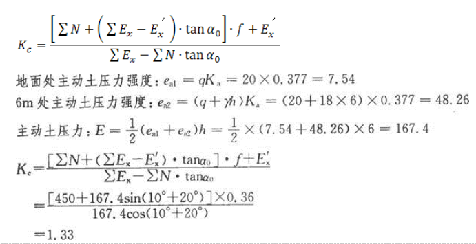
图示的铁路挡土墙高H=6m,墙体自重450kN/m。墙后填土表面水平,作用有均布荷载q=20kPa,墙背与填料间的摩擦角δ=20°,倾角α=10°。填料中...

作者: tihaiku 人气: - 评论: 0
问题 图示的铁路挡土墙高H=6m,墙体自重450kN/m。墙后填土表面水平,作用有均布荷载q=20kPa,墙背与填料间的摩擦角δ=20°,倾角α=10°。填料中砂的重度γ=18kN/m3,主动土压力系数Ka=0.377,墙体与地基间的摩擦系数f=0.36。试问,该挡土墙沿墙底的抗滑安全系数最接近下列哪个选项?(不考虑水的影响)
选项 A、 0.91 B、 1.12 C、 1.33 D、 1.51
答案 C
解析 根据《铁路路基支挡结构设计规范》(TB 10025—2006)第3.3.1条规定,挡土墙沿基底的抗滑动稳定系数Kc,非浸水情况时应按下式计算:

相关内容:铁路,土墙,墙体,自重,表面,水平,作用,布荷载,荷载,墙背,填料,摩擦,倾角

猜你喜欢

发表评论
更多 网友评论0 条评论)
暂无评论

访问排行

Copyright © 2012-2014 恰考网 Inc. 保留所有权利。 Powered by tikuer.com

页面耗时0.0356秒, 内存占用1.05 MB, Cache:redis,访问数据库19次