如图所示某折线形均质滑坡,第一块的剩余下滑力为1150kN/m,传递系数为0.8,第二块的下滑力为6000kN/m,抗滑力为6600kN/m。现拟挖除第三...

作者: tihaiku 人气: - 评论: 0
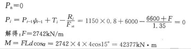
问题 如图所示某折线形均质滑坡,第一块的剩余下滑力为1150kN/m,传递系数为0.8,第二块的下滑力为6000kN/m,抗滑力为6600kN/m。现拟挖除第三块滑块,在第二块末端采用抗滑桩方案,抗滑桩的间距为4m,悬臂段高度为8m。如果取边坡稳定安全系数Fst=1.35,剩余下滑力在桩上的分布按矩形分布,按《建筑边坡工程技术规范》(GB 50330—2013)计算作用在抗滑桩上相对于嵌固段顶部A点的力矩最接近于下列哪个选项?(  )
选项 A、 10595kN·m B、 10968kN·m C、 42377kN·m D、 43872kN·m
答案 C
解析 根据《建筑边坡工程技术规范》(GB 50330—2013)附录A.0.3条规定,折线形滑坡采用传递系数法隐式解,边坡稳定性系数可按下列公式计算:

相关内容:如图,某折,线形,一块,剩余,下滑,1150kN,系数,6000kN,抗滑,6600kN,现拟

猜你喜欢

发表评论
更多 网友评论0 条评论)
暂无评论

访问排行

Copyright © 2012-2014 恰考网 Inc. 保留所有权利。 Powered by tikuer.com

页面耗时0.0570秒, 内存占用1.04 MB, Cache:redis,访问数据库16次