已知岩质边坡的各项指标如下:γ=25kN/m3,坡角60°,若滑面为单一平面,且与水平面呈45°角,滑面上c=20kPa,φ=30°。当滑动体处于极限平衡...

作者: tihaiku 人气: - 评论: 0
问题 已知岩质边坡的各项指标如下:γ=25kN/m3,坡角60°,若滑面为单一平面,且与水平面呈45°角,滑面上c=20kPa,φ=30°。当滑动体处于极限平衡时,边坡极限高度为: A. 8. 41m B. 17.9m C. 13. 72m D. 22. 73m
选项
答案 B
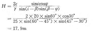
解析 提示:由极限坡高的计算公式得

相关内容:边坡,指标,如下,坡角,若滑,平面,水平,面上,滑动,极限

猜你喜欢

发表评论
更多 网友评论0 条评论)
暂无评论

访问排行

Copyright © 2012-2014 恰考网 Inc. 保留所有权利。 Powered by tikuer.com

页面耗时0.0516秒, 内存占用1.04 MB, Cache:redis,访问数据库18次