某独立柱基的基底尺寸为2600mm×5200mm,正常使用极限状态下柱底荷载值:F1= 2000kN, F2 =200kN,M= 1000kN·m,V= ...

作者: tihaiku 人气: - 评论: 0
问题 某独立柱基的基底尺寸为2600mm×5200mm,正常使用极限状态下柱底荷载值:F1= 2000kN, F2 =200kN,M= 1000kN·m,V= 200kN,柱基自重及回填土重 G =486. 7kN,基础埋置深度和工程地质剖面如图3 -27所示。 (1)基底的最大压力为( )kPa。 A. 198.72 B. 236.35 C. 316.8 D. 368.4
选项
答案 C
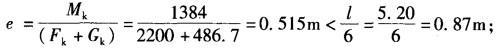
解析 根据题意计算如下:作用在基底形心处的总竖向力为:Fk=F1+F2 =2000 +200 =2200kN;作用在基底处的总力矩为: Mk =M + Vh+F2a=1000 +200×1. 30+200×0. 62 = 1384kN·m; 偏心距为:

相关内容:某独,立柱,基底,尺寸,2600mm,5200mm,极限,状态,下柱,荷载,2000kN,1000kN

猜你喜欢

发表评论
更多 网友评论0 条评论)
暂无评论

访问排行

Copyright © 2012-2014 恰考网 Inc. 保留所有权利。 Powered by tikuer.com

页面耗时0.0397秒, 内存占用1.05 MB, Cache:redis,访问数据库20次