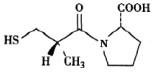
卡托普利的化学结构是A:B:C:D:E:

作者: rantiku 人气: - 评论: 0
问题 卡托普利的化学结构是
选项 A: B: C: D: E:
答案 C
解析 考查卡托普利的化学结构。A为硝苯地平,B为尼群地平,D为甲基多巴,E地尔硫卓。故选C答案。

猜你喜欢

发表评论
更多 网友评论0 条评论)
暂无评论

访问排行

Copyright © 2012-2014 恰考网 Inc. 保留所有权利。 Powered by tikuer.com

页面耗时0.0338秒, 内存占用1.03 MB, Cache:redis,访问数据库20次