是溴己新的体内活性代谢产物A.B.C.D.E.

作者: tihaiku 人气: - 评论: 0
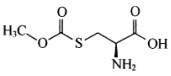
问题 是溴己新的体内活性代谢产物
选项

A.
B.
C.
D.
E.

答案 B
解析 结构式A~E依次是磷酸可待因、盐酸氨溴索、乙酰半胱氨酸、右美沙芬、羧甲司坦。本组题考点是药物的代谢及对活性的影响,总结见题。羧甲司坦含伯氨基。

相关内容:溴己,体内,活性,代谢,产物,A.B.C.D.E.

猜你喜欢

发表评论
更多 网友评论0 条评论)
暂无评论

Copyright © 2012-2014 恰考网 Inc. 保留所有权利。 Powered by tikuer.com

页面耗时0.0380秒, 内存占用1.04 MB, Cache:redis,访问数据库20次