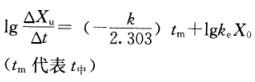
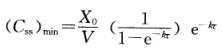
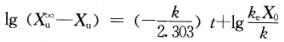
表示一室模型单剂量静脉注射给药后的尿药排泄亏量法公式A.B.C.D.E.

作者: tihaiku 人气: - 评论: 0
问题 表示一室模型单剂量静脉注射给药后的尿药排泄亏量法公式
选项

A.
B.
C.
D.
E.

答案 B
解析 本组题考点为药动学公式。要求能够识别公式的用途。C表示一室模型多剂量静脉注射给药后的稳态最大血药浓度。D表示一室模型多剂量静脉注射给药后的稳态最小血药浓度。E为米氏方程的表达式,用于主动转运、促进扩散、非线性药动学。

猜你喜欢

发表评论
更多 网友评论0 条评论)
暂无评论

Copyright © 2012-2014 恰考网 Inc. 保留所有权利。 Powered by tikuer.com

页面耗时0.0279秒, 内存占用1.04 MB, Cache:redis,访问数据库19次