美罗培南的结构A.B.C.D.E.

作者: tihaiku 人气: - 评论: 0
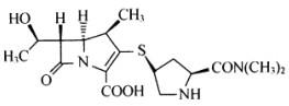
问题 美罗培南的结构
选项

A.
B.
C.
D.
E.

答案 D
解析 本组题考点是抗生素的结构,结构特点可一一对号入座。除题干对应的4项外,E是氨曲南。

猜你喜欢

发表评论
更多 网友评论0 条评论)
暂无评论

Copyright © 2012-2014 恰考网 Inc. 保留所有权利。 Powered by tikuer.com

页面耗时0.0385秒, 内存占用1.03 MB, Cache:redis,访问数据库18次