钙通道阻滞剂A.B.C.D.E.

作者: tihaiku 人气: - 评论: 0
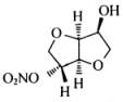
问题 钙通道阻滞剂
选项

A.
B.
C.
D.
E.

答案 C
解析 本组题考点是药物作用机制及临床用途。结构式A~E依次是单硝酸异山梨酯、替米沙坦、盐酸尼卡地平、盐酸喹那普利、盐酸莫索尼定,与其作用机制一一对应。

猜你喜欢

发表评论
更多 网友评论0 条评论)
暂无评论

Copyright © 2012-2014 恰考网 Inc. 保留所有权利。 Powered by tikuer.com

页面耗时0.0401秒, 内存占用1.03 MB, Cache:redis,访问数据库20次