单室模型静脉注射给药,血药浓度一时间关系式是A.C=C0e-ktB.C.C=k0(1-e-kt)/VkBD.lgC′=(-k/21303)t′+lg[k0...

作者: tihaiku 人气: - 评论: 0
问题 单室模型静脉注射给药,血药浓度一时间关系式是
选项

A.C=C0e-kt
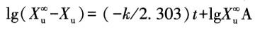
B.
C.C=k0(1-e-kt)/VkB
D.lgC′=(-k/21303)t′+lg[k0(1-e-kt)/Vk]
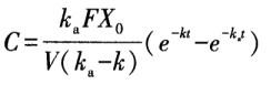
E.

答案 A
解析

相关内容:单室,模型,血药,浓度,一时间,关系,C0e-ktB.C.C,1-e-kt,VkBD.lgC

猜你喜欢

发表评论
更多 网友评论0 条评论)
暂无评论

Copyright © 2012-2014 恰考网 Inc. 保留所有权利。 Powered by tikuer.com

页面耗时0.0377秒, 内存占用1.04 MB, Cache:redis,访问数据库19次