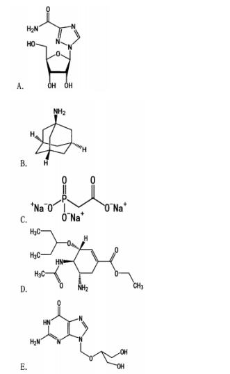
神经氨酸酶是存在于流感病毒表面的糖蛋白,为抗病毒药物的作用靶点,神经氨酸酶可以切断神经氨酸与糖蛋白的连接,释放出病毒复制的关键物质唾液 酸(神经氨酸),...

作者: tihaiku 人气: - 评论: 0
问题 神经氨酸酶是存在于流感病毒表面的糖蛋白,为抗病毒药物的作用靶点,神经氨酸酶可以切断神经氨酸与糖蛋白的连接,释放出病毒复制的关键物质唾液 酸(神经氨酸),此过程如图所示:


选项
答案 D
解析

相关内容:神经,流感,病毒,抗病毒,药物,作用,靶点,糖蛋,复制,关键,物质,唾液

猜你喜欢

发表评论
更多 网友评论0 条评论)
暂无评论

Copyright © 2012-2014 恰考网 Inc. 保留所有权利。 Powered by tikuer.com

页面耗时0.0249秒, 内存占用1.04 MB, Cache:redis,访问数据库14次