为无机焦磷酸盐的有机类似物,在体外实验中可抑制巨细胞病毒、人疱疹病毒的药物是

作者: tihaiku 人气: - 评论: 0
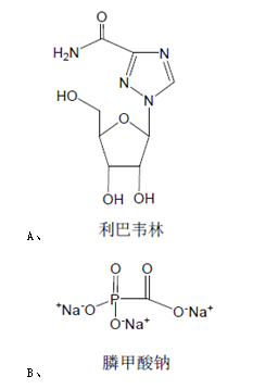
问题 为无机焦磷酸盐的有机类似物,在体外实验中可抑制巨细胞病毒、人疱疹病毒的药物是
选项
答案 B
解析 膦甲酸钠是无机焦磷酸盐的有机类似物,在体外实验中可抑制巨细胞病毒、人疱疹病毒。

相关内容:磷酸盐,体外,巨细胞,病毒,疱疹,药物

猜你喜欢

发表评论
更多 网友评论0 条评论)
暂无评论

Copyright © 2012-2014 恰考网 Inc. 保留所有权利。 Powered by tikuer.com

页面耗时0.0390秒, 内存占用1.04 MB, Cache:redis,访问数据库20次